根據《2024新生代媽媽奶粉喂養白皮書》顯示,90后、95后媽媽在育兒和喂養方面占據了重要地位。參與調研的2167名媽媽中,90后、95后最多,總占比超過70%。輔以艾瑞數智的數據顯示,在新生兒媽媽年齡分布中,90后占比為44%,95后占比33.5%,二者之和接近80%,這表明90后和95后已經成為當下的主要育兒群體。
?
一、90后和95后成為主要育兒群體,喂養方式又會如何變更?
1.?科學喂養的加強:90后、95后成長于物質相對豐富、高等教育進一步普及的年代,思想也好,認知也罷,比父母爺奶一輩普遍先進優秀,這是社會進步的表現之一。秉持著這些思想認知的90后、95后,自然會將此投射在生活中,而育兒喂養這等關系到孩子的健康和未來的大事,則會更加注重科學喂養,對于營養補充也是“只補對的,不補貴的”。
2.?傳統喂養與現代喂養的融合:我90后、95后群體,在當下而言,屬于社會的中流砥柱,比之70后、80后,他們的思想認知相對新潮,更愿意接受嶄新事物;比之00后、05后,他們的社會閱歷與見識則相對豐富深廣,不會偏聽偏信。在喂養方面,自然也會取舍有道,以為己用。
3.?追求贏在起跑線上:與90后、95后的生活條件相比,20后的生活條件自然更好,所以90后、95后成為寶媽、加入育兒大軍時,一般會追求讓孩子贏在起跑線上——包括但不限于讓孩子自幼加強腦營養、視神經營養,為孩子提高免疫力,讓孩子少生病等等。
?
以上幾點,基本是由新生代育兒群體——90后、95后推動變更并使用的喂養方式,所以不妨將其稱為“新式喂養關系”。
?
二、新式喂養關系,需要何種面向嬰幼兒的營養品牌?
結合前文來看,可以得出,新生代育兒群體的新式喂養關系,基本圍繞“科學喂養”“傳統與現代結合”“追求贏在起跑線上”三大項。我們尋找符合這三項且面向嬰幼兒的營養品牌即可。
?
三、惠優喜,讓孕育遠離營養失衡。
惠優喜,創立于2010年,是富諾健康股份有限公司旗下的專業母嬰營養品品牌。該品牌產品種類多,可分為免疫、益智、基礎營養、腸胃四個系列,為孕育全過程提供優質且全面的營養。
?
四、惠優喜智黃金DHA、橙冠乳鐵蛋白,賦能新式喂養
1. 因為講究科學,所以營養價值更高:考慮到胎兒、嬰幼兒的大腦需要優質且充足的營養才能健康發育,為了讓更多孩子能夠擁有一個健康、靈活、聰明的大腦,為了讓更多孩子能夠贏在起跑線上,惠優喜曾與倫敦大學帝國理工學院的邁克爾·克勞福德(Michael Crawford)教授合作,推出惠優喜智黃金DHA。
?
2. Sn-2位DHA,讓營養價值更高,更易吸收!
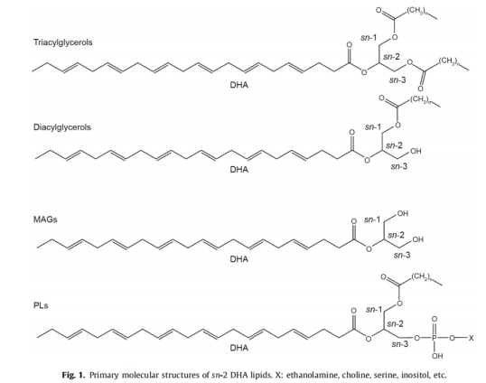
既然新式喂養關系要力求科學,惠優喜智黃金DHA就會將此做到精益求精。再科研中,發現DHA和ARA的存在形式含量最多的均為結合在sn-2位的甘油三酯。在人乳脂肪(HMF)的總脂肪酸中,DHA只占很小的比例(0.36%–0.70%),但是超過一半(52.63%–65.15%)被結合在sn-2位置。此外,酯化在 sn-2 位置的 DHA會優先被腸粘膜吸收,并在體內再酯化為PLs,從而會優先被轉運到大腦中,而酯化在 sn-1、3 位置的DHA在被胰脂酶水解后則優先轉運到肝臟。因此,sn-2 DHA脂質能優先促進人體大腦的發育和功能的發展。(如下圖所示)


3.?新式喂養,自然要新!惠優喜智黃金DHA,新款細分,閃亮登場!
惠優喜智黃金嬰幼兒款DHA
呵護嬰幼兒,讓喂食更簡單。采用液體劑型,降低媽媽喂食難度,半歲以上就能吃!

惠優喜智黃金學齡前兒童款DHA
采用DHA藻油+磷脂酰絲氨酸,雙重營養,讓智慧充盈大腦。

惠優喜智黃金孕哺女性款DHA
采用小顆粒檸檬味爆珠設計,讓孕哺期間的女性消費者也能放心食用,避免孕吐,真正讓孩子贏在起跑線上。

惠優喜智黃金中老年款DHA
DHA+EPA雙管齊下,助中老年人應對亞健康與心血管問題。

4.?惠優喜橙冠乳鐵蛋白,四重營養,確保孩子健康成長。
惠優喜橙冠乳鐵蛋白融合了乳鐵蛋白、免疫球蛋白、接骨木莓粉及燕窩酸四大營養精華,全方位幫寶寶保持健康的免疫系統。
?
考慮到新式喂養關系中追求“傳統與現代的融合”,所以惠優喜橙冠乳鐵蛋白既可直接食用,也便于以溫水沖服,讓孩子們既能向“多喝水”的傳統邁進,讓寶寶保持健康的免疫系統,一舉兩得。此外,惠優喜品牌下還有八臻寶、九消寶這類有益兒童脾胃消化的產品,均是“以古為鑒”“古為今用”“推陳出新”的產品,進一步滿足新式喂養方式。
?
5.?惠優喜產品采用貼心設計,讓新式喂養方式更便捷。
惠優喜智黃金DHA:采用薄皮小晶球設計,入口即化,可加在牛奶這等輔食中,洋溢的淡淡檸檬香,適宜嬰幼兒、兒童、孕婦、中老年人的口味,讓補充DHA猶如吃糖。

惠優喜橙冠乳鐵蛋白:獨立包裝,沖泡劑量一目了然,再也不用擔心統一包裝的不衛生和受潮等問題。每100g含500mg乳鐵蛋白、2000mg免疫球蛋(IgG)、500mg接骨木莓、20mg N-乙酰神經氨酸(燕窩酸),營養更豐富。

本文開頭便提到新生代育兒群體的“新式喂養方式”注重科學,何為科學?自然不是片面之詞。
?
五、惠優喜產品,真金不怕火煉!
1. 自有工廠,自研自供,產品均有源可循,通過嚴苛的質量監管,做到讓消費者真正安心。經得起消費者的檢驗!


研究院、獎項證書、檢驗報告,一應俱全!讓科學更為直觀,更加具象。







2. 惠優喜3.15質量安全日:提高員工綜合素質,讓產品質量始于“人”
產品研發需要人,產品生產制造需要人,產品推銷需要人……一言以蔽之:人,決定著產品安全與否、質量高低、銷路寬窄。對此,惠優喜為貫徹落實品質發展理念,每年均會開展3.15質量安全日,讓員工對品質理念和安全保障形成更全面、深入的理解。

?
在不斷更迭的母嬰行業,在母嬰需求、兒童營養需求日漸多樣化的時代,惠優喜始終站在時代的前沿,以科學研發為翼,以愛心為舵,不忘“讓孕育遠離營養失衡”之使命,順勢而為,傲立于新式喂養關系的潮流之上。未來,惠優喜將繼續深耕細作,以更加科學、智能、精準細分的喂養解決方案,賦能每一位寶媽,讓新式喂養不僅是方式的革新,更是母愛的升華。